magnetic field due to a circular coil in hindi वृत्ताकार धारावाही कुण्डली के कारण चुम्बकीय क्षेत्र (Magnetic Field due to current carrying circular coil )
प्रस्तावना : हम पिछले टॉपिक में एक लम्बे सीधे धारावाही चालक तार के कारण चुम्बकीय क्षेत्र की गणना कर चुके है और इसके लिए सूत्र भी स्थापित कर चुके है अब हम अध्ययन करते है जब एक वृत्ताकार कुण्डली हो तो इसके कारण कितना चुम्बकीय क्षेत्र उत्पन्न होगा साथ ही इसके लिए सूत्र भी स्थापित करेंगे।
कुण्डली के केंद्र पर चुम्बकीय क्षेत्र (Magnetic field at the Centre of coil )
जब हम किसी वृत्ताकार कुंडली में
धारा प्रवाहित करते है तो इसके चारो ओर एक चुंबकीय क्षेत्र उत्पन्न हो जाता है , यदि यह वृत्ताकार कुण्डली कागज के तल में रखी हो तो इसके चारों ओर उत्पन्न चुम्बकीय क्षेत्र कागज के तल के लंबवत होगा।
इस स्थिति में चुंबकीय क्षेत्र की दिशा क्या होगी ?
वृताकार कुंडली के कारण उत्पन्न चुंबकीय क्षेत्र की दिशा
वृतीय धाराओं के लिए दायीं हथेली का नियम से ज्ञात कर सकते है। इसके अनुसार जब कुण्डली में धारा दक्षिणावर्त दिशा में बह रही हो तो चुंबकीय क्षेत्र कागज के तल के लंबवत नीचे की तरफ होगा।
तथा जब धारा वामावर्त दिशा में बह रही हो तो चुम्बकीय क्षेत्र कागज के तल के लंबवत दिशा में ऊपर की ओर होगा। (कुंडली कागज के तल पर स्थित है )
माना एक कुण्डली में धारा I प्रवाहित हो रही है इसकी त्रिज्या r है।
हम कुंडली के केंद्र पर
चुम्बकीय क्षेत्र की गणना करने के लिए कुण्डली की परिधि को अल्पांश में बाँट लेते है तथा सभी अल्पांश के कारण केंद्र पर चुंबकीय क्षेत्र की गणना करके सबको जोड़कर केंद्र पर कुल चुम्बकीय क्षेत्र की गणना करते है।
dl अल्पांश के कारण केंद्र o पर चुम्बकीय क्षेत्र dB है तो
चूँकि dl तथा r के मध्य 90 डिग्री का कोण है अतः θ = 90 अतः सूत्र में मान रखने पर sin90 = 1
अतः
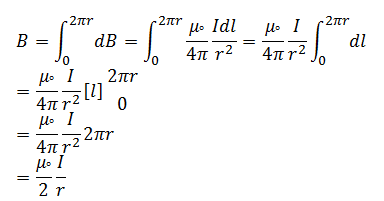
अतः पूरे अल्पाँशो के कारण केंद्र पर उत्पन्न कुल चुम्बकीय क्षेत्र
यदि कुंडली में फेरो की संख्या N हो तो

वृत्ताकार कुण्डली के कारण चुम्बकीय क्षेत्र (magnetic field due to a circular coil) : यदि हम किसी चालक को एक वृत्ताकार कुंडली का रूप दे दे तथा उसमें विद्युत धारा प्रवाहित करे तो कुंडली एक चुम्बकीय द्विध्रुव की तरह कार्य करने लगती है। अर्थात उसका एक फलक चुम्बकीय उत्तरी ध्रुव की तरह तथा दूसरा फलक चुम्बकीय दक्षिणी ध्रुव की भाँती व्यवहार करने लगता है। धारावाही कुण्डली की चुम्बकीय बल रेखाएं चित्र में प्रदर्शित की गयी है।
“जिस फलक पर धारा वामावर्त (anti clockwise) दिशा में बहती हुई दिखाई देती है , वह फलक उत्तरी ध्रुव और जिस फलक पर धारा दक्षिणावर्त दिशा में बहती हुई प्रतीत होती है , वह फलक दक्षिणी ध्रुव की भाँती व्यवहार करता है। “
यदि एक आवेश स्थिर रहता है तो उसके परित: केवल विद्युत क्षेत्र उत्पन्न होगा। यदि आवेश चलने लगे (तार में नहीं) तो वह विद्युत और चुम्बकीय दोनों क्षेत्र उत्पन्न करता है। मान लीजिये कि तार में धारा बह रही है तो तार में जितना धन आवेश होगा , उतना ही ऋण आवेश भी होगा , अत: तार विद्युतत: उदासीन होगा। इस कारण तार में धारा बहने पर उसके चारों ओर कोई विद्युत क्षेत्र उत्पन्न नहीं होगा। इसके विपरीत चूँकि इलेक्ट्रॉन केवल एक ही दिशा में चल रहे है और धनावेश नहीं चल रहा है , अत: तार के चारों ओर सबल चुम्बकीय क्षेत्र उत्पन्न हो जायेगा। इस प्रकार यदि आवेशित कण वायु में चल रहा है तो विद्युत और चुम्बकीय दोनों क्षेत्र उत्पन्न होंगे और यदि तार में धारा बह रही है तो केवल चुम्बकीय क्षेत्र ही उत्पन्न होगा।
इसका अध्ययन सबसे पहले ऑसर्टेड ने किया था।
स्पष्ट है कि विद्युत क्षेत्र को बिना आवेश के उत्पन्न नहीं किया जा सकता जबकि चुम्बकीय क्षेत्र को बिना चुम्बक के उत्पन्न किया जा सकता है क्योंकि गतिशील आवेश चुम्बकीय क्षेत्र उत्पन्न करता है। चुम्बकत्व की व्याख्या इसी आधार पर की जाती है।
वृत्ताकार धारावाही कुण्डली के कारण चुम्बकीय क्षेत्र (magnetic field due to current carrying circular coil) :
(i) वृताकार कुंडली के केन्द्र पर : जब किसी वृत्ताकार कुंडली में धारा प्रवाहित की जाती है तो उसके चारों ओर चुम्बकीय क्षेत्र उत्पन्न हो जाता है। वृत्ताकार कुंडली के भीतर चुम्बकीय क्षेत्र लगभग एक समान होता है। हमें कुंडली के केंद्र O पर उत्पन्न चुम्बकीय क्षेत्र का मान ज्ञात करना है। यदि कुण्डली कागज के तल में स्थित है तो उत्पन्न चुंबकीय क्षेत्र की दिशा कागज के तल के लम्बवत होगी। यदि धारा दक्षिणावर्त दिशा में प्रवाहित है तो चुम्बकीय क्षेत्र की दिशा कागज के लम्बवत नीचे की ओर होगी तथा यदि धारा वामावर्त दिशा में प्रवाहित होती है तो चुम्बकीय क्षेत्र कागज के तल के लम्बवत ऊपर की ओर होगा।
कुंडली की त्रिज्या माना कि r है। केंद्र O पर चुम्बकीय क्षेत्र ज्ञात करने के लिए पहले एक वृत्ताकार लूप पर विचार करते है। पूरी परिधि को अनेक अल्पांशो में बाँट लेते है तथा प्रत्येक के कारण O पर उत्पन्न चुम्बकीय क्षेत्र को जोड़कर पूरे लूप के कारण O पर चुम्बकीय क्षेत्र ज्ञात कर लेते है।
dl लम्बाई के एक अल्पांश ab के कारण O पर उत्पन्न चुम्बकीय क्षेत्र
dB = (u0/4π)I.dl.sinθ/r2
अल्पांश के मध्य बिंदु पर खिंची गयी स्पर्श रेखा त्रिज्या r के साथ 90 डिग्री का कोण बनाती है अत:
dB = (u0/4π)I.dl.sin90/r2
अत: पूरे लूप के कारण O पर उत्पन्न चुम्बकीय क्षेत्र
B = (u0/4π)2πI/r
या
B = (u0I/2r)
यदि लूप के स्थान पर N फेरों वाली कुंडली है तो उसके केंद्र पर उत्पन्न चुम्बकीय क्षेत्र
B = B = (u0I.N/2r)
(ii) किसी चाप के कारण केन्द्र पर उत्पन्न चुम्बकीय क्षेत्र : माना r त्रिज्या के धारावाही चाप AB के कारण उसके केंद्र O पर उत्पन्न चुम्बकीय क्षेत्र ज्ञात करना है। बायो सावर्ट के नियम से वृत्ताकार चाप के अल्पांश के कारण केंद्र पर उत्पन्न चुम्बकीय क्षेत्र
dB = (u0/4π)I.dl/r2
चूँकि
कोण = चाप/त्रिज्या
अत: चाप AB द्वारा केंद्र पर अन्तरित कोण
θ = AB/r
AB = r.θ
अत: पूरे चाप AB के कारण O पर उत्पन्न चुम्बकीय क्षेत्र
B = (u0/4π)I.θ/r
नोट : θ को रेडियन में अर्थात π के पदों में रखते है।